El caso que revela un esquema internacional de lavado de oro de la minería ilegal en Ecuador
Las dos hermanas que fueron detenidas al intentar ingresar USD 2.1 millones en el aeropuerto de Quito, salieron de prisión al mes. Ecuavisa.com accedió al expediente donde se revela otros viajes que hicieron a República Dominicana con artículos de oro y cómo operaría la red.
-
Por la detención de dos hermanas con USD 2.1 millones en el Aeropuerto de Quito, hay en total 11 personas y una empresa vinculadas al caso de lavado de activos que sigue la Fiscalía. ( )
En dos meses, se cerró la etapa de instrucción fiscal en el caso de lavado de activos que sigue la Fiscalía contra las dos hermanas que intentaron ingresar USD 2.1 millones al Ecuador. En ese tiempo, además de un conductor y tres agentes aduaneros, otras cinco personas y una empresa fueron vinculadas.
María Verónica y Martha Alejandra M. V., fueron detenidas cuando arribaron al aeropuerto de Quito el 22 de noviembre del 2024. Tenían una maleta con 21 fajos de billetes de USD 100. El dinero salió de un banco de República Dominicana, donde ellas estuvieron cuatro días.
Un juez dictó prisión preventiva contra ambas y el conductor de un vehículo blindado que las esperaba en el parqueadero. Mientras que ordenó presentación periódica y prohibición de salida del país para los tres miembros de la Aduana.
Pero un mes después, el 30 de diciembre del 2024, se desarrolló la audiencia de revisión de medidas, vinculación y reformulación de cargos. Allí se vinculó a una prima de las hermanas y a su esposo. También a Alberto M. A., un empresario que consta como accionista de una empresa en República Dominicana y tiene al menos ocho negocios en Ecuador, según lo reveló Ecuavisa.com el año pasado. Además de otros dos agentes aduaneros y una compañía.
En esta diligencia, el juez decidió cambiar las medidas cautelares contra María y Martha M. V. y dispuso su presentación periódica. Es decir, pasaron solo un mes en prisión. Su defensa alegó que una de ellas tiene tres hijos. Como respaldo, se presentó además un documento de los padres de las señoras, quienes aseguraron que ambas viven en su casa ubicada en el centro histórico de Quito.
El día del decomiso del dinero, el presidente Daniel Noboa mencionó que presuntamente los USD 2,1 millones iban a ser destinados para financiar las manifestaciones que hubo el 22 de noviembre. Sin embargo, en la instrucción fiscal, las investigaciones apuntaron a una red que comercializaba oro que sería de las actividades mineras ilegales y traía grandes cantidades de dinero al Ecuador.
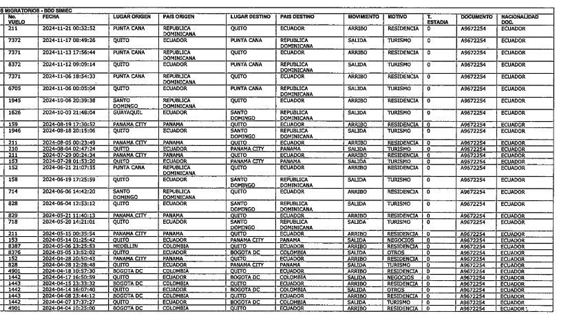
Según el expediente al que Ecuavisa.com tuvo acceso, las hermanas hicieron más de un viaje en noviembre a República Dominicana. Y los agentes aduaneros acusados supuestamente ya habían colaborado antes para el ingreso de dinero presuntamente de actividades ilícitas.
¿Cómo operaba la red para vender piezas de oro y obtener millones de dólares?
En esta investigación, la Fiscalía General del Estado señaló que presuntamente el dinero tendría origen ilícito, relacionado al contrabando de recursos mineros. En este esquema, según las autoridades, constan las hermanas María y Martha M. V., Carlos L. V., los empresarios Alberto M. y Esteban U., además de cinco agentes aduaneros.
María Verónica M. V., era quien portaba la maleta donde se encontraron los USD 2.1 millones. Ella en su versión, dijo que trabajaba como secretaria de Esteban U. y ganaba el salario básico.
Esteban U., es esposo de la prima de María Verónica y el 15 de noviembre, le habría pedido que viaje a Punta Cana para traer un dinero. En su versión, la implicada aseguró que vio los documentos en orden y le preguntó si podía ir con su hermana Martha Alejandra. La compañía les pagaba el pasaje aéreo y los viáticos.
Según los documentos, las hermanas salieron de Ecuador el 17 de noviembre y estuvieron en República Dominicana hasta el 21 de ese mes. Ese día, regresaron al país y fueron detenidas en el aeropuerto Mariscal Sucre de Quito.
Verónica fue trasladada a oficinas internas en la terminal aérea, donde le pidieron los documentos de respaldo. Ella pidió llamar a su hermana Martha, que había pasado los controles y la esperaba afuera donde también estaba un conductor con un vehículo blindado.
Un policía había retenido a Verónica y según el expediente, en esos momentos, Martha chateaba con Esteban U., el jefe de su hermana, a quien le agradecía por el viaje y el pago. También se comunicaba con el conductor. Posteriormente, los tres fueron capturados.
Sin embargo, no era el primer viaje que realizaban las hermanas. En las investigaciones se detalló que ambas fueron antes a República Dominicana. En los documentos constan que María Verónica M. V. y su hermana viajaron el 6 de noviembre y retornaron ese mismo día.
El 12 de noviembre volvieron a viajar hacia ese destino y retornaron el 13. Y finalmente, tomaron un avión desde Quito hacia Punta Cana el 17 y regresaron el 21 con la maleta que contenía el dinero.
En el registro migratorio, se evidencian también otros viajes de ambas hacia Panamá y Colombia durante 2024. Según el expediente, en el vuelo del 6 de noviembre María Verónica viajó con un hombre. Ambos supuestamente portaban una caja con piezas de oro de 17 000 y 5 000 gramos dentro de una mochila. El 13 de noviembre, ella retornó al Ecuador con USD 2.1 millones.
Posteriormente, María regresó el 17 de noviembre a Punta Cana portando otra mochila con 31 000 gramos de oro. En la Aduana de ese país adjudicó que el material lo compró con el dinero que portaba en el viaje anterior. Finalmente, cuatro días después, ella regresó a Ecuador con otros USD 2.1 millones y fue detenida.
Así mismo, otro de los implicados - Carlos L. V., también realizó un viaje a Punta Cana llevando "material no ferroso", presuntamente oro. Y regresó al Ecuador con USD 1.2 millones. Todas las sumas antes mencionadas, habrían salido del mismo banco en República Dominicana.
Según la Fiscalía, la red pretendía ingresar en total USD 5 millones. Y de acuerdo con la información obtenida de los celulares de los sospechosos, el supuesto material mineral salía del país disfrazado en llaves y otros objetos manuales, para ser ingresados a la zona de comercio.
Los datos en los teléfonos determinó también la comunicación que existía entre los miembros de la Aduana acusados. Ellos, dentro de la organización, recibían fotografías de las pasajeras que iban a ingresar el dinero al Ecuador. Supuestamente estaban pendientes del arribo, para revisar la documentación de respaldo de la declaración de los montos para dejarlas pasar.
Según los documentos, no era la primera vez que los uniformados hacían este trámite. El fiscal del caso expuso durante una de las audiencias, conversaciones entre los agentes, donde explicaban por dónde sacar a las mujeres con el dinero, cómo ingresar los papeles e incluso, que borren los chats. También hay un diálogo donde se alerta que la Policía retuvo a María Verónica.
El presunto rol de los empresarios, era dar las directrices. María Verónica les escribía indicando cuando llegaba a República Dominicana, cuando iba a regresar, entre otros movimientos. Si le preguntaban sobre el dinero, ella debía decir que era de una empresa en Santo Domingo (República Dominicana) para la inversión en una plaza comercial ubicada específicamente en Cuenca.
Una empresa en Ecuador está investigada, pues se habría usado el nombre para justificar los movimientos económicos. La entidad registra una actividad económica de venta de electrodomésticos y no tenía la capacidad para recibir esas sumas de dinero.
Allanamientos e informes de la Unidad de Análisis Financiero (UAFE)
Un mes después de la detención de María Verónica y Martha Alejandra, las autoridades realizaron allanamientos en inmuebles y oficinas ubicadas en el centro y norte de Quito. Allí se recopiló documentos y otras evidencias para el caso de lavado de activos que sigue la Fiscalía.
En un edificio, los agentes policiales detectaron un cuarto donde presuntamente se transformaban las barras de oro a figuras artesanales, llaveros, piezas de ajedrez, entre otros. Dicha oficina era alquilada por la prima de las hermanas María y Martha y el nombre de la empresa se usaba para supuestamente realizar los viajes a los países antes mencionados donde se las comercializaba.
Dentro del proceso judicial, se detalló también los informes de la Unidad de Análisis Financiero (UAFE). Ahí se constató que el empresario Fernando M. A., tiene su RUC suspendido y registraba ingresos por USD 677 550. María Verónica M. V., en cambio, tenía ingresos por USD 286 106, mientras su hermana no consta con movimientos económicos.
La sospechosa Karina C. V., en cambio registraba ingresos por USD 17 882, además de su RUC activo por ventas de equipos de telecomunicaciones por USD 2 117 millones entre 2020 y 2024. Su esposo Esteban U., reportó en cambio ingresos por USD 300 720 entre 2021 y 2014. Finalmente, Carlos L. V., también tiene su RUC activo por ventas menores de equipos e ingresos en el sistema financiero por USD 763 325.
En cuanto a la empresa investigada, solo se detalló la versión de una contadora que había sido consultada por Fernando M. A., para que realice las declaraciones del SRI. Según la especialista, "no tenía información detallada de los movimientos que le proporcionó el cliente en los estados de cuenta".
Fiscalía pide notificación de Interpol para localizar a dos implicados
El 28 de enero del 2025, se realizó una audiencia de revisión de medidas contra Esteban U. y Karina C. V., prima de las hermanas detenidas con USD 2.1 millones. El motivo fue porque ambos implicados habrían incumplido con las presentaciones periódicas ante la autoridad dispuesto en la diligencia del 30 de diciembre del 2024.
El juez dictó prisión preventiva contra ellos y además dispuso que se notifique a la Policía Judicial y a la oficina de la Interpol en Quito, la ubicación de los procesados. Esto porque según la audiencia, hay registros migratorios que confirmarían que salieron de Ecuador hacia Estados Unidos.
La defensa de ambas personas, alegó que sus clientes residen en Estados Unidos y tendrían la ciudadanía de ese país. Por su parte, el fiscal del caso señaló que los pasajes supuestamente fueron comprados el mismo día de la audiencia de vinculación y formulación de cargos.
El fiscal del caso, detalló también que en los teléfonos constan las supuestas conversaciones entre María Verónica M.V., con Esteban U., sobre la organización de los viajes a República Dominicana "para vender el material aurífero disfrazado como figuras artesanales", detalla el expediente.
Karina C. V., prima de las hermanas, tendría una empresa cuyo socio sería Esteban U. Dicha compañía era usada supuestamente para comprar los pasajes aéreos. También para ocultar la actividad ilícita, legalizar los viajes y el dinero ingresado que traían María y Martha M.V.
Por ahora, las autoridades anunciaron el cierre de la instrucción fiscal. Además solicitaron fecha para la audiencia preparatoria de juicio en este caso de lavado de activos.
Te puede interesar: Leidi R., la expareja de Junior Roldán, tiene empresas activas en Ecuador.
Recomendadas